한빛아카데미 모두를 위한 R 데이터 분석 입문
본 연습문제들은 작성자 본인이 푼것이라 틀릴 수 도 있습니다.
1. R을 이용하여 다음 계산식의 코드를 작성하고 답을 구하시오.

2. R을 이용하여 다음의 내용을 코드로 작성하고 답을 구하시오.
변수 a와 b에 각각 4와 5를 저장한 후 a+b의 결과를 c에 저장하고 c의 내용을 출력한다.

3. R을 이용하여 다음의 내용을 코드로 작성하고 답을 구하시오.
변수 pi에 3.14를 저장한 후 pi를 이용하여 반지름이 10, 12, 15인 원의 면적을 각각 구한다.

4. R을 이용하여 다음의 내용을 코드로 작성하고 답을 구하시오.
y=2x^2+5x+10에 대해 x가 각각 6, 8, 10일 때 y의 값을 각각 구한다.

5. 다음의 R 코드의 문제점을 지적하고 어떻게 해결해야 하는지 설명하시오.
val.a <- 10
sum.ab <- val.a + val.b
val.b 값을 지정해줘야 한다.
6. 95, 86, 47, 55, 68로 구성된 벡터 vc.1을 생성하고 vc.1의 내용을 출력하는 코드를 작성하시오.

7. 100 ~ 200 사이의 짝수로 구성된 벡터 vc.2를 생성하고 vc.2의 내용을 출력하는 코드를 작성하시오.

8. 20개의 TRUE로 구성된 vc.3을 생성하고 vc.3의 내용을 출력하는 코드를 작성하시오.(rep 함수 사용)

9. 100에서 200으로 구성된 벡터 d를 생성한 다음 각 문제를 수행하는 코드를 작성하고 답을 구하시오.


10. 월별 결석생 수 통계가 다음과 같을 때 이 자료를 absent 벡터에 저장하시오(결석생 수를 값으로 하고, 월 이름을 값의 이름으로 한다).
| 월 | JAN | FEB | MAR | APR | MAY | JUN | JUL | AUG | SEP |
| 결석생 수 | 10 | 8 | 14 | 15 | 9 | 10 | 15 | 12 | 9 |
| OCT | NOV | DEC |
| 7 | 8 | 7 |

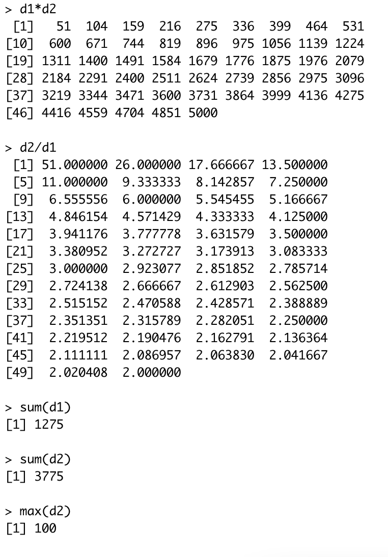
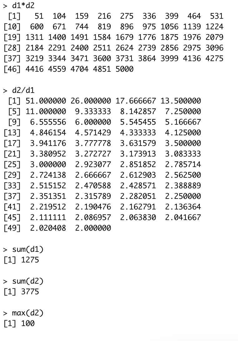
11. 벡터 d1, d2가 다음과 같을 때 각 문제를 수행하기 위한 코드를 작성하고 답을 구하시오.
d1 <- 1:50
d2 <-51:100



12. 다음과 같이 벡터 v1을 생성한 다음 각 문제를 수행하기 위한 코드를 작성하고 답을 구하시오(문제를 풀다 보면 v1의 내용이 변경되기도 하는데, 모든 문제는 최초의 v1을 대상으로 하여 해결할 것).


'R 데이터' 카테고리의 다른 글
| 모두를 위한 R 데이터 분석 입문 연습문제 6장 (0) | 2022.11.28 |
|---|---|
| 모두를 위한 R 데이터 분석 입문 연습문제 5장 (1) | 2022.11.25 |
| 모두를 위한 R 데이터 분석 입문 연습문제 4장 (0) | 2022.10.16 |
| 모두를 위한 R 데이터 분석 입문 연습문제 3장 (1) | 2022.10.15 |
| 모두를 위한 R 데이터 분석 입문 연습문제 1장 (0) | 2022.10.14 |